42 classification activity high school

Teach Classification and Make It Fun!! - Amy Brown Science Cladistics is one of the newest trends in the modern classification of organisms. It shows the relationship between different organisms based on the presence or absence of characteristics called derived characters. In this activity, students will look at pictures of 7 different animals to determine if they possess certain derived characters. PDF High School Lessons - Inventory List High School Lessons - Inventory List . 1. Lesson 1 - What's in Your Drink? - Curriculum 2. Learning the Facts cards - Print as many copies as needed and cut each card out. Make sure there are an equal number of pairs. Each student will get one card. 3. Learning the Facts Bingo Questions and Answer pageCopy- one Bingo card for each ...

100+ Hands-On Activities for Middle School and High School 100+ Living Math Activities & Link-Up - Activities are broken down by grade level and include those for middle school and high school. Graphing Facebook Birthdays - If paper airplanes aren't your style, try your hand at graphing your Facebook friends' birthdays instead.

Classification activity high school

Classification activity high school

8 Fun Activities to Do While Teaching High School When I was in high school, my Language Arts teacher had us simulate elements of the dystopian world described in George Orwell's 1984; we were expected to wear jeans and a white shirt and pretty much act as emotionless as possible throughout the class period. This participatory activity really helped us examine and understand the themes in ... List of Team Building Activities for High School Students ... 7. Create a class movie. Activity: Indoor/Outdoor. The end-of-year events in any school are typically more creative and fancy. Students would love to be showcased in a class skit or movie. While the entire class is required to participate, you will need to split up the students into smaller teams. Classification Activity High School - XpCourse classification activity high school provides a comprehensive and comprehensive pathway for students to see progress after the end of each module. With a team of extremely dedicated and quality lecturers, classification activity high school will not only be a place to share knowledge but also to help students get inspired to explore and discover many creative ideas from themselves.

Classification activity high school. Introduce Your Classroom to Classification - Carolina.com This easily adapted activity is appropriate for high school students and takes only about 45 minutes to complete. Methods of classifying organisms have evolved along with scientific understanding. Classification of living things can be traced back to Aristotle, over 2,300 years ago. Lesson Plans & Activities for High School English Classes Lesson Plans for High School English. Bring literature, grammar, and creative writing to life with project ideas and lesson plans for your High School English Class. These lesson plans cover some of the most popular books, plays, poems, and speeches. Below, you'll find customizable lesson plans and ideas to spark creativity in the classroom! 4 Best Medical Terminology Activities for High School To help you out, we've pulled together the four best places to find medical terminology activity ideas for high school students: Medical Terminology Bingo from Sheila Saenz. Medical Terminology Domino Cards from Surviving Science. Medical Terminology Lessons & Activities from Anatomy Academy with Carole S. 30 Icebreaker Activities for High School and Middle School ... 30 icebreaker activities for high school and middle school students that will help teenagers get to know each other and promote learning. We value your privacy. We use cookies and other technologies to keep the site reliable and secure, tailor your experience, measure site performance and present relevant offers and advertisements, as described ...

Classifying Organisms: Teaching Taxonomic Classification Feb 23, 2019 — So while our focus is on the top two levels, our practice activities include learning about the other taxa as well. Recalling Prior Knowledge. Practice Classification in Action | Activity | Education.com Practice Classification in Action. Scientists love to classify. When scientific items are properly organized, not only are they powerful tools for scientists, they can also predict yet undiscovered items. Dmitri Mendeleev, considered the father of the modern periodic table, arranged the known elements of the 1800's, in rows and columns by ... 5 Engaging Math Activities for High School - Algebra 1 Coach 5. Complex Numbers Ball Game. The last activity on our engaging math activities for high school list will help you create an engaging atmosphere to practice adding complex numbers. You can use it for a bigger group in class, but it can easily be adjusted as a one-on-one activity if you're a homeschooling parent. High School Teacher Resources & Activities - World of 7 ... Involve your entire grade or the whole school in real-world simulations and fun contests. Lessons for grades 9 – 12 are appropriate for a number of courses including Biology, Environmental Science (Honors, AP, IB), World History, Economics, AP Human Geography, and Global Studies. Topics covered include demographic differences worldwide ...

PDF 'Class'ification - Shape of Life principles of classification and binomial nomenclature. Activity Subject: Introduction to taxonomy and classification. Grade Level: 7 – 12 grades Introduction In this lesson, students will be introduced to the concept of taxonomy, and categorization of organisms based on Carl Linnaeus’s system of classification. The class watches This Getting to Know You Activity for High School Students ... This getting to know you activity for high school students does the trick: Make middle and high school students feel welcome. As a high school teacher, creating a classroom environment where students felt welcomed, wanted, and willing to try new and challenging things is my main goal during the first week of school. Top 25 Fun Classroom Activities For School Student -Embibe Learning Activities for School Students #Classroom Activity 1 - Think, Pair and Share. Group size - 2 Time duration - 30 minutes Description- You can create questions based on a particular topic taught in the class.You can pair up your students for this activity. Evolution & Taxonomy - The Biology Corner Fingerprint Classification – look at fingerprints and develop a way to classify them. Taxonomy Project – students create their own kingdoms, phyla..etc and design organisms Alien Taxonomy – group and categorize alien species Analyze and Construct Cladograms – very simple cladograms showing how animals are organized by derived characters

Classification System Science Lesson: Learning Taxonomy | Woo ...

Classification System Science Lesson: Learning Taxonomy | Woo ...

Classification Activities for Middle School - Synonym 1 Shoe Classification As an introduction activity to the classification of living animals, students can classify shoes. This is a group activity in which your students gain an understanding of the importance of animal classification using materials much closer to home. Begin the activity by asking students to take off their shoes.

SHSAA ExNet - E-5 Form: Eligibility Form

SHSAA ExNet - E-5 Form: Eligibility Form

Kingdom Animalia - Mensa for Kids Know and understand the seven levels of classification. Apply that knowledge as they practice classifying animals. Evaluate and compare the classification of animals. Devise a classification system for the objects in their homes. Create a new species and classify it according to the principles of classification. Preparation

Taxonomy: Classification and Naming of Living Things Video

Taxonomy: Classification and Naming of Living Things Video

Summative_Activity_Plant_classification_and_uses.pdf ... Summative activity: Investigating plant species from the school garden Practical work in ESS is an opportunity for students to gain and develop skills and techniques beyond the requirements of the assessment model and should be fully integrated with the teaching of the course. In line with the IB animal experimentation policy, the following guidelines exist for all practical work undertaken as ...

Подготовка старшеклассников к предметной олимпиаде как ...

Подготовка старшеклассников к предметной олимпиаде как ...

Amy Brown Science: Teaching Classification and Taxonomy ... Cladistics is one of the newest trends in the modern classification of organisms. It shows the relationship between different organisms based on the presence or absence of characteristics called derived characters. In this activity, students will look at pictures of 7 different animals to determine if they possess certain derived characters.

Applying Bloom's Taxonomy to the Classroom | Technology for ...

Applying Bloom's Taxonomy to the Classroom | Technology for ...

Classification - Science Classroom Teacher Resources Activities Have students do this NOVA activity for classifying fish. The worksheet is in html or ( pdf). Try this " Animal Classifications " game. This " Drag and Drop " game has students put the classification categories in the correct order. Have students do this "Classification" ( doc) wordsearch puzzle with answers ( doc).

PDF) Development and Evaluation of an Activity to Teach ...

PDF) Development and Evaluation of an Activity to Teach ...

PDF Name Score Classification classification systems. Objective 1: Classify based on observable properties. a. Categorize nonliving objects based on external structures (e.g., hard, soft). b. Compare living, once living, and nonliving things. c. Defend the importance of observation in scientific classification. d. Demonstrate that there are many ways to classify things.

Amy Brown Science: Teach Classification and Make It Fun!!

Amy Brown Science: Teach Classification and Make It Fun!!

Classification Activity High School - XpCourse classification activity high school provides a comprehensive and comprehensive pathway for students to see progress after the end of each module. With a team of extremely dedicated and quality lecturers, classification activity high school will not only be a place to share knowledge but also to help students get inspired to explore and discover many creative ideas from themselves.

Classification activity for 6

Classification activity for 6

List of Team Building Activities for High School Students ... 7. Create a class movie. Activity: Indoor/Outdoor. The end-of-year events in any school are typically more creative and fancy. Students would love to be showcased in a class skit or movie. While the entire class is required to participate, you will need to split up the students into smaller teams.

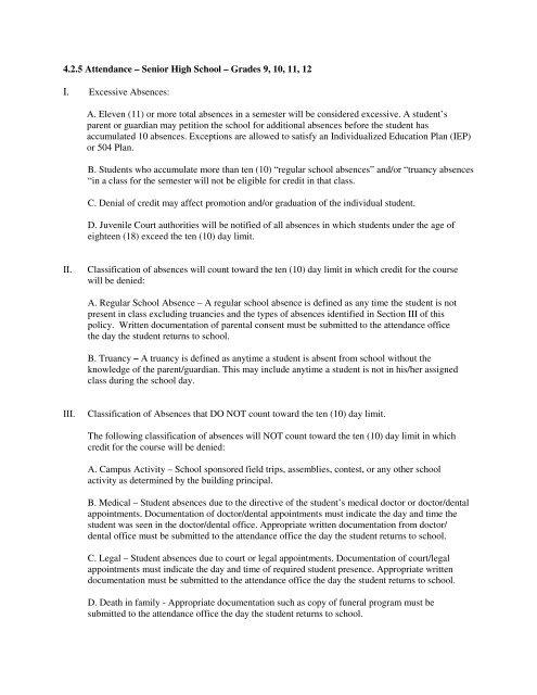
4.2.5 Attendance – Senior High School – Grades 9, 10, 11 ...

4.2.5 Attendance – Senior High School – Grades 9, 10, 11 ...

8 Fun Activities to Do While Teaching High School When I was in high school, my Language Arts teacher had us simulate elements of the dystopian world described in George Orwell's 1984; we were expected to wear jeans and a white shirt and pretty much act as emotionless as possible throughout the class period. This participatory activity really helped us examine and understand the themes in ...

Animal Classification Worksheet by Nicolina Barbero | TpT

Animal Classification Worksheet by Nicolina Barbero | TpT

Outdoor Classification Activity (Teacher-Made)

Outdoor Classification Activity (Teacher-Made)

Classification Activities Teaching Resources | Teachers Pay ...

Classification Activities Teaching Resources | Teachers Pay ...

Classifying interactive activity

Classifying interactive activity

honors classification

honors classification

Kindergarten: Holding Hands and Sticking Together: I am a ...

Kindergarten: Holding Hands and Sticking Together: I am a ...

Verbal Analogies: EnchantedLearning.com

Verbal Analogies: EnchantedLearning.com

Classifying activity

Classifying activity

Development and Evaluation of an Activity to Teach Molecular ...

Development and Evaluation of an Activity to Teach Molecular ...

Classification of Living Things Hands-On Activity

Classification of Living Things Hands-On Activity

First Classroom Observation - FIRST CLASSROOM OBSERVATION ...

First Classroom Observation - FIRST CLASSROOM OBSERVATION ...

THE GLOBAL SPINE CARE INITIATIVE: CLASSIFICATION SYSTEM FOR ...

THE GLOBAL SPINE CARE INITIATIVE: CLASSIFICATION SYSTEM FOR ...

PDF) Deep Learning-Based Structure-Activity Relationship ...

PDF) Deep Learning-Based Structure-Activity Relationship ...

Animal Classification: A Collaborative Sorting Activity for ...

Animal Classification: A Collaborative Sorting Activity for ...

Taxonomy - BIOLOGY JUNCTION

Taxonomy - BIOLOGY JUNCTION

A Dichotomous Classification Key with a Holiday Twist ...

A Dichotomous Classification Key with a Holiday Twist ...

Classifying Organisms: Teaching Taxonomic Classification ...

Classifying Organisms: Teaching Taxonomic Classification ...

Classification Vocabulary Worksheet/Activity

Classification Vocabulary Worksheet/Activity

CommitteeReportJan17

CommitteeReportJan17

Classify the Creature Worksheet | Biology worksheet, Animal ...

Classify the Creature Worksheet | Biology worksheet, Animal ...

Team-Building Games and Activities for the Classroom ...

Team-Building Games and Activities for the Classroom ...

Classification of Living Things Hands-On Activity

Classification of Living Things Hands-On Activity

Classification of Living Things Hands-On Activity | Middle ...

Classification of Living Things Hands-On Activity | Middle ...

What Is a Species? - Action Bioscience

What Is a Species? - Action Bioscience

Lesson Plans: Copy and Paste Living Things (1-2, Computer)

Lesson Plans: Copy and Paste Living Things (1-2, Computer)

Binomial Nomenclature: Definition, Classification & System Video

Binomial Nomenclature: Definition, Classification & System Video

Physical and chemical changes online pdf activity

Physical and chemical changes online pdf activity

Camarines Sur National High School - ANNOUNCEMENT Heads up ...

Camarines Sur National High School - ANNOUNCEMENT Heads up ...

Let's Eat Healthy for Teens Lesson 1: Food + You

Let's Eat Healthy for Teens Lesson 1: Food + You

An integrative methodology for classifying physical activity level ...

An integrative methodology for classifying physical activity level ...

The 5 Kingdoms in Classification | Evolution | Biology | FuseSchool

The 5 Kingdoms in Classification | Evolution | Biology | FuseSchool

NACE Rev. 2

NACE Rev. 2

Amy Brown Science: Teach Classification and Make It Fun!!

Amy Brown Science: Teach Classification and Make It Fun!!

0 Response to "42 classification activity high school"

Post a Comment

Iklan Atas Artikel

Iklan Tengah Artikel 1

Iklan Tengah Artikel 2

Iklan Bawah Artikel